Δειτε τους Τελικούς Αξιολογικούς Πίνακες των υποψήφιων Διευθυντών Σχολείων – Καλαμπακιώτες στις πρώτες θέσεις της Α/θμιας
Ανακοινώθηκαν οι τελικοί Αξιολογικοί Πίνακες των υποψήφιων Διευθυντών Σχολείων (Δημοτικών & Γυμνασίων-Λυκείων) του Ν. Τρικάλων
Ανακοινώθηκαν οι τελικοί Αξιολογικοί Πίνακες των υποψήφιων Διευθυντών Σχολείων (Δημοτικών & Γυμνασίων-Λυκείων) του Ν. Τρικάλων
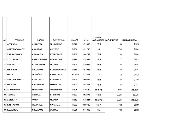
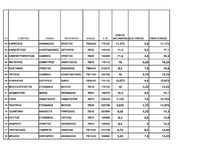
Ανακοινώθηκαν οι τελικοί Αξιολογικοί Πίνακες των υποψήφιων Διευθυντών Σχολείων (Δημοτικών & Γυμνασίων-Λυκείων) του Ν. Τρικάλων οι οποίοι δημοσιεύθηκαν από τις αντίστοιχες Διευθύνσεις Α/θμιας και Β/θμιας Εκπαίδευσης.
Στις πρώτες θέσεις του πίνακα της Α/θμιας Εκπαίδευσης βρίσκονται Καλαμπακιώτες εκπαιδευτικοί…
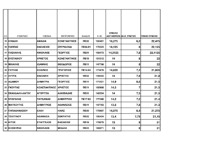
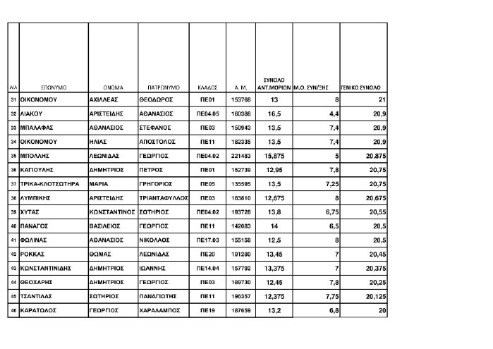
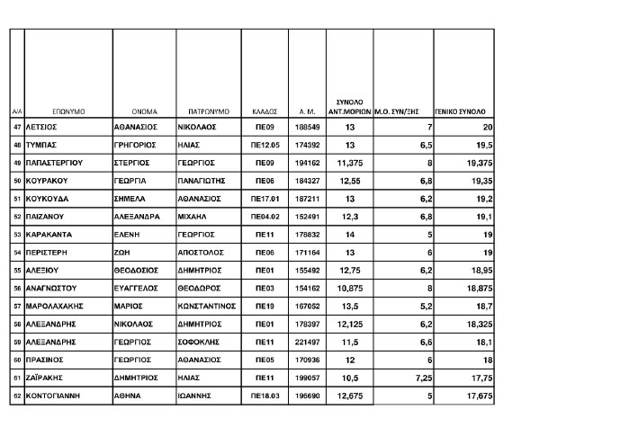
Δείτε τους Πίνακες:



Ακολουθούν οι πίνακες της β/θμιας εκπαίδευσης











