Αλμπάνης Χρήστος και Σταυράκης Δημοσθένης Διευθυντές σε ΕΠΑΛ και ΓΕΛ Καλαμπάκας τη νέα σχολική χρονιά
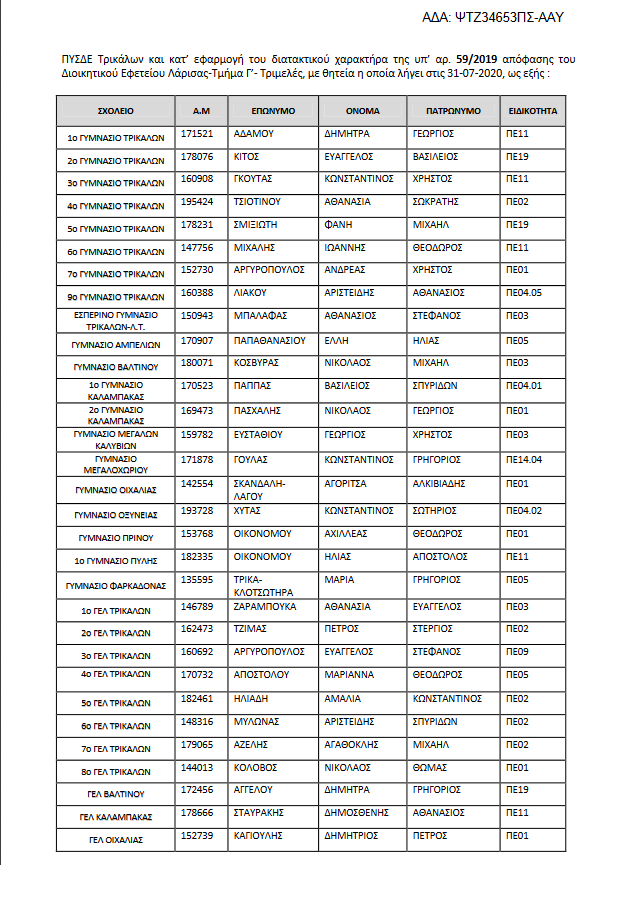
Ανακοινώθηκε και επίσημα η Τοποθέτηση Διευθυντών Σχολικών Μονάδων και Εργαστηριακών Κέντρων της Δ/θμιας Εκπ/σης Τρικάλων 2017, κατ’ εφαρμογή απόφασης του Διοικητικού Εφετείου.
Βάση της κατάστασης στην θέση του Διευθυντή του ΕΠΑΛ Καλαμπάκας επιστρέφει ο κ. Χρήστος Αλμπάνης, ο κ. Σταυράκης συνεχίζει και τη νέα σχολική χρονιά στο ΓΕΛ, όπως συνεχίζουν και οι νυν διευθυντές στα Γυμνάσια της Καλαμπάκας, Αμπελίων και Οξύνειας.
Η απόφαση:
α





